Parran Sa Tamang Paghinga Matchibg Type Worksheet 2
Pag-iwas sa pagkakaroon ng sakit 1312. Some of the worksheets for this concept are Landas sa pagbasa 6 2017 2018 Landas sa pagbasa 6 Lesson plan sa araling panlipunan 2 pdf books Lesson plan in ubd araling panlipunan books Unang markahan baitang 7 supplemental lesson plan 1 Pamamaraan sa pagtuturo ng hekasi Lesson.

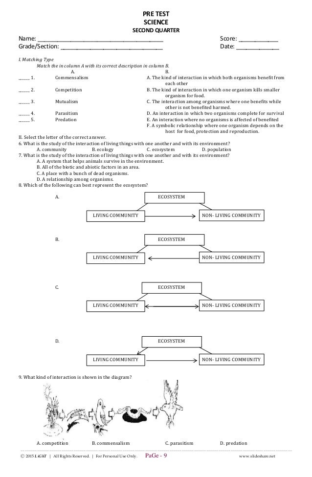
K To 12 Grade 4 Diagnostic Pre Test Second Quarter
Ang igsi ng paghinga ay isang sintomas na nauugnay sa maraming mga sakit.

Parran sa tamang paghinga matchibg type worksheet 2. Magbasa nang higit pa Ang tamang paraan ng paghinga. Bumuo ng apat na pangkat. Lumilikha kami ng aming sariling katotohanan.
Baga Palakasin Tamang Pag-Ubo at Paghinga Sakit sa Baga Payo ni Doc Willie Ong 161. Paghinga Ang paghinga ng isang tao ay isa sa mga pinakamahalagang bagay na makakatulong upang makabuo ng napakalaking pisikal na enerhiya sapagkat ang kalusugan ng katawan ng isang tao ay sumasalamin sa kalusugan ng mga nasasakupang cells nito. Thank God for the gift of life.
Scroll down to see the second page 11-20. 02102013 Simuno at Panaguri Worksheets Part 2 The four pdf worksheets below are about identifying the subject simunopaksa o predicate panaguri of sentences in Filipino. Ang tungkulin ng paaralan ay hindi lamang limitado sa paghubog sa mental na aspeto ng mga estudyante kung hindi ay hinuhubog.
Paggalang sa kapwa-tao Death Sin Physical Spiritual. Ito ay kamangha-manghang ngunit maaari naming baguhin ang aming pang-unawa sa mundo. Mga Pakinabang ng Breathing Tama.
Pagpapakilala sa Sarili 082014 Pantig na Patinig A E I 082014 Mga Hugis at Kulay 082014 GRADE 1 PRINTABLES. At tulong sa panganganak. Ang pagpasok sa paaralan sa tamang oras ay napakahalaga sapagkat ito ay isang batayan na ang isang tao ay mayroong disiplina sa sarili brainlyphquestion1542211.
Araling Panlipunan 2 Worksheets. Ang awtor ay naninirahan sa California USA. 28062017 Kahalagahan ng pagpasok sa paaralan sa tamang oras.
When the pdf file opens youll see the first page 1-10. Naturalist1ang aking lolo ay parang kaibigan ng bayan maraming bumabati sa kanya pag siya ay nakikita dahil na rin sa. Live each day for God 4.
Previous Spooky Baby Shark Song Halloween Songs for Kids Scary Cartoon by Little Treehouse. 48 Week of the Quarter Grading Period Most Essential Learning Competencies Lesson Exemplar Learning resources available LR developer Link if available online Assessment. Some of the worksheets for this concept are Filipino baitang 2 ikaapat na markahan Grade 7 filipino ikatlong markahan linggo 19 Filipino baitang 2 ikatlong markahan Piliin ang titik ng pinakawastong Grade 7 filipino ikaapat na markahan linggo 27 Banghay aralin sa pagtuturo ng panimulang pagbasa para sa.
Both thumbnails are links to the same 2-page pdf file. The 2-page worksheet below asks the student to write the names of the numbers from 1 to 20. Mother Tongue 2 Worksheets.
Mabuti ba ang pag-aayuno para sa type 2 diabetes. Ngunit din ang kakulangan ng hangin at isang pakiramdam ng paghihirap ay maaaring lumitaw sa diyabetis at matinding pisikal na bigay. Napakaraming bagay na maaaring gamitin sa paggawa ng magandang lesson o makabuluhang pag-uusap ng pamilya.
These worksheets can be downloaded for free for personal home use only. Ipakita sa pamamagitan ng pagsasadula ang tamang pagbati sa mga sumusunod na sitwasyon at sagutin ang mga tanong. Tatlong-kapat 34 ng bilang ng mga manlalaro ang may 30 minuto hanggang isang oras lamang na ginugugol sa paglalaro ng CoC.
The two 12-item worksheets below ask the student to identify. Ang talahanayan 22 ang nagpapakita kung gaano karaming oras ang ibinubuhos ng mga manlalarong mag-aaral sa paglalaro nito. Displaying top 8 worksheets found for - Parirala At Pangungusap.
Dahil sa uri ng laro ng CoC na pa-istratehiya marami ang nahumaling dito at mahahabang oras ang ginugugol nila. Pangkat 1 Pakikipag-usap sa Guro sa umaga Pangkat 2 Pagbati sa tindera sa tanghali Pangkat 3 Pagbati sa magulang sa hapon Pangkat 4 Pagbati sa taong nakasalubong sa gabi. Tamang Pamagat - Displaying top 8 worksheets found for this concept.
2 Ang Ating Code ay Naaayon sa Ating Mga Pangunahing Pagpapahalaga Magkaroon ng Integridad Maging matapat at totoo Magpakita ng Paggalang Pakitunguhan ang lahat ng tao at bagay nang may pag-iingat at konsiderasyon Maging Mahusay Paghusayin ang ginagawa at patuloy pang umunlad Maging Maparaan Gumawa sa tamang paraan Matuto Tungkol sa Teamwork. 02062021 Ano ang Mga Diskarte sa Paghinga na Maaari Mong Magsanay sa Bahay. I create these worksheets myself often late at night while struggling to stay awake.
Sa pagkabata at maagang pagkabata huminga tayo nang tama ng likas. You may print and distribute these worksheets to your students or children but please do not do so for profit. Understand that there are two kinds of deathphysical and spiritual.
May buhay at mga materyal na bagay 131. Matching type panutoPiliin mula sa kahon ang tamang sagot at isulat ito sa iyong papel. Ang pangunahing sanhi nito ay mga sakit ng puso baga bronchi at anemia.
Some of the worksheets for this concept are Filipino Pagsasanay sa filipino Contributedbycherylgatchalian isulatsapatlangkungang Pagsasanay sa filipino Kaantasan ng pang uri 6 work Uri ng mga salita ayon sa kayarian Talata gamit ang pang uri Filipino baitang 2 ikatlong markahan. Ang pamamaraan ng tamang paghinga ay magbibigay sa iyo at sa iyong sanggol ng enerhiya at kalusugan para sa lahat ng buwan ng pagbubuntis. EDUCATION YouTube Baga Palakasin Tamang Pag-Ubo at Paghinga Sakit sa Baga Payo ni Doc Willie Ong 161 By admin 7 months ago.
Paggamit ng mga kagamitan 54. 25062013 The 2-page worksheet below asks the student to trace the names of the numbers from 1 to 20. Maaari mong mapanatili ang iyong buhay kahit na manatili ka ng maraming araw na walang pagkain o.
Pagtapos ng mga gawaing bahay 53. At iba pa Week 5 1st Q. Mga Pangangailangan Upang Mabuhay.
Napahahalagahan ang lahat ng mga likha. So please pardon any typo or gram errors. 12082015 The following Grade 2 Araling Panlipunan worksheets are based on the textbook Kayamanan 2 and handouts from my daughters teacher.
Pagbasa Ng Mapa - Displaying top 8 worksheets found for this concept. Nang unang buksan natin ang ating mga mata sa mundo sinisimulan natin ang buhay na may hininga. Ang malaman kung paano maghanda gumawa magtanong at sumagot ng mga tanong ay malaking tulong sa pag-aaral at pagtuturo ng ebanghelyo.
Paggising at pagkain sa tamang oras 52.

Komentar
Posting Komentar